一、产品介绍
沥青高粘剂是为适应我国发展高等级公路的要求,独立自主研发的一种新型特种沥青改性材料。外观为黄色或黑色颗粒,其使用方式可以添加到基质沥青中制备高粘沥青或是直接添加到石料中拌和生产高粘沥青混合料。
高粘沥青混合料耐久性、高温稳定性、抗老化性能显著提高,具有较高的抗飞散性、耐水性、耐候性和耐流动性。高粘度沥青主要用于铺筑排水抗滑降噪(OGFC)路面、彩色透水沥青路面、应力吸收层、桥面铺装防水粘结层、高粘沥青SMA。
二、技术指标
1、GNJ高粘沥青改性剂性能检测结果

2、高粘改性沥青性能指标

备注:基质沥青为70#道路石油沥青。
从表中数据可以看出,高粘改性沥青软化点高,60℃粘度高,针入度小,说明其耐热性得到提高、感温性得到改善,温度敏感性降低,沥青与集料的粘结力和握裹力得到提高。
3、高粘改性沥青混合料性能试验结果

从表中数据可以看出,高粘改性沥青混合料高温稳定性、低温抗裂性和水稳性能都得到明显提高。
三、排水沥青路面技术
排水降噪沥青混凝土是利用级配调整使粗细粒料间的孔隙率提高至20%左右,以使降于铺面上的水分可由大量孔隙迅速排除,避免路表积水及在铺面上形成水膜,因而减少行车打滑与水沫飞溅,由于它集优良的排水、防滑、降噪等功能为一体,不失为一种安全、环保的生态沥青混凝土路面铺装新技术。
1、排水降噪沥青混凝土路面功能特性
(1) 提高行车安全性
排水降噪沥青混凝土路面在雨天可以有效减少路面积水,增加路面与轮胎的附着力,防止汽车在行驶中发生水漂现象,抑制溅水起雾影响后车视线,减轻雨天路面眩光现象,从而大大提高雨天行车安全性。据统计,铺装排水降噪沥青混凝土路面后。交通事故率下降85%。

(2)提高路面抗滑性能
排水性沥青路面的构造深度是普通沥青路面的2-3倍,可以有效的提高路面的摩擦系数,具有很高的抗滑性能。

(3)降低环境噪音
排水降噪沥青混凝土路面与普通沥青混凝土路面相比,可降低噪声3-5dB。

2、排水降噪沥青混凝土路面的结构特点

与传统的密级配沥青混凝土相比,排水降噪沥青混凝土的大空隙特征使其更容易受到日光、空气及水的侵蚀,导致混合料出现耐久性的降低以及透水功能丧失等问题。为保证排水降噪沥青混凝土路面的耐久性和功能的持续性,必须选择优质骨料及高粘性的沥青胶结料。
3、典型路面结构设计

4、高粘改性沥青混合料性能指标,高粘改性沥青混合料性能试验结果

从表中数据可以看出,高粘改性沥青混合料高温性能、低温性能和水稳性都得到明显提高。
四、应力吸收层技术
1、防水粘结应力吸收层组合结构设计图

2、防水粘结应力吸收层的性能
(1)粘结性能
图1 不同洒布量下的粘结强度

从图中可以看出,选择取胶结料洒布量为2.5kg/m2,试件剪切强度1.47MPa,拉拔强度0.61MPa。可以使得沥青铺装层与混凝土路面可以有良好的粘结性能。
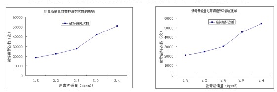
(2)防水粘结应力吸收层的抗疲劳性能
防水粘结应力吸收层沥青混合料弯拉疲劳寿命与沥青洒布量关系

防水粘结应力吸收组合铺装层疲劳试验

从实验结果中可以看出,采用防水粘结应力吸收材料后,桥面组合铺装层的疲劳破坏次数明显提高,最多可达30000次以上。